Navigation
Detail
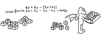
Paul und die Terme
Urheber:
Jens Tiburski, CC0
Bildnummer:
P10967
Auflösung:
640x250
Format:
PNG
Quelle:
https://www.schulportal-thueringen.de/pixiothek/detail?tspi=P10967
Kurzbeschreibung:
Das Bild gehört zur Serie "Paul". Es zeigt Paul beim Umformen von Termen. Das Bild ist unter CC0 lizenziert und kann somit frei verwendet werden.
Verwandte Bilder (Auswahl)
Weihnachtsbaum
(667x918)
Baum, Nadelbaum
(732x1057)
Weihnachtsbaum/ Tannenbaum
(834x1213)
Weihnachtliche Lichterkette
(3468x4624)
Kerze
(265x263)
Weihnachtsbaum/ Tannenbaum
(1118x1546)
Schneemann
(265x262)
Kirchenjahr 1.3: Weihnachten
(624x613)
Deko-Stern
(2596x1799)
Nüsse in Säckchen
(3872x2592)
Verwandte Medien (Auswahl)
Advents- und Weihnachtszeit
(öffentlich) Ein OER-Cont...
Online-Medium
(2019)
Bildersammlung: Advent
(öffentlich) Mediensamml...
Medienpaket
(2010)
Liederbuch "Singen im Adve...
(öffentlich)
Online-Medium
(2017)
Advent
(öffentlich) Bedeutung, ...
Online-Medium
(2012)
Weihnachtsbasteln
(öffentlich)
Online-Medium
(2024)
Warum feiern wir Weihnachten?
(öffentlich) ZDF: Terra ...
Online-Medium
(2021)
Nussknacker und Mausekönig
E.T.A. Hoffmann
Online-Medium
(2008)
Mache mit! Weihnachtsduf...
(öffentlich)
Online-Medium
(2023)
Die Weihnachtsansprache
O.Henry
Online-Medium
(2008)